☀ 50 kunci jawaban un bhs inggris smk 2012 pictures

50 kunci jawaban un bhs inggris smk 2012 pictures. People are jogging on the threadmill 2. Kunci jawaban xpress un 2019 matematika smk kunci jawabanku erlangga xpress un smk mak 2020 bahasa indonesia bahasa inggris matematika plus kunci jawaban geraibuku heztya. Kunci jawaban buku bahasa inggris kelas 11. 6 tema 2 subtema 1 kunci jawaban.
50+ Kunci Jawaban Un Bhs Inggris Smk 2012 Pictures From guru-id.github.io
6 tema 2 subtema 1 kunci jawaban. Artikel ini telah memuat kunci jawaban. Latihan soal bahasa inggris kelas xii smk disertai kunci jawaban. People are jogging on the threadmill 2. Inilah pembahasan soal dan jawaban latihan un dan unbk untuk smk pelajaran bahasa inggris semester genap dilansir dari berbagai sumber:. Kunci jawaban dan soal unbk bhs inggris 2013.
Di postingan kali ini admin akan membagikan latihan soal un bahasa indonesia smk terbaru tahun pelajaran 2018/2020 disertai kunci jawaban.
Soal dan jawaban ucun 2 bahasa inggris smp tahun 2018 2019 paket b pendidikan kewarganegaraan pendidikan kewarganegaraan. Download soal uts bahasa inggris smp kelas 8 semester 1 ta. Inggris smk 2011 paket 12, 25, 39, 46, 54. People are jogging on the threadmill 2. Listening section part 1 : 6 tema 2 subtema 1 kunci jawaban.
Source: kanaljabar.com
Kunci jawaban un 2012 sma bahasa inggris. Kunci jawaban bupena bhs inggris xi smoking languages. Inilah pembahasan soal dan jawaban latihan un dan unbk untuk smk pelajaran bahasa inggris semester genap dilansir dari berbagai sumber:. Latihan soal bahasa inggris kelas xii smk disertai kunci jawaban. Listening section part 1 :
Source: duniasekolahid.blogspot.com
Materi bahasa inggris kelas 9 smp mts kurikulum. Kunci jawaban xpress un 2019 matematika smk kunci jawabanku erlangga xpress un smk mak 2020 bahasa indonesia bahasa inggris matematika plus kunci jawaban geraibuku heztya. No kunci no 31 b 41 32 b 42 33 d 43 34 a 44 35 c 45 36 a 46 37 a 47 38 d 48 39 a 49 40 a 50. Materi bahasa inggris kelas 9 smp mts kurikulum. Download soal uts bahasa inggris smp kelas 8 semester 1 ta.
Source: guru-id.github.io
Kunci jawaban dan soal unbk bhs inggris 2013. Three bus passengers were taken into the hospital. Soal dan kunci jawaban bhs inggris 07 kunci jawaban spm plus 2019 kelas 6 matematika paket 2 lengkap. (5) indefinitely as part of a simple but hugely. 6 tema 2 subtema 1 kunci jawaban.
Source: gurujpg.com
Kunci jawaban dan soal unbk bhs inggris 2013. Homepage / excercise / 50 contoh soal bahasa inggris pilihan ganda dan essay untuk siswa smp by pustaka bahasa inggris posted on january 5, 2019 august 25,. Kunci jawaban dan soal unbk bhs inggris 2013. Materi bahasa inggris kelas 9 smp mts kurikulum. Artikel ini telah memuat kunci jawaban.
Source: revisi.id
Artikel ini telah memuat kunci jawaban. Homepage / excercise / 50 contoh soal bahasa inggris pilihan ganda dan essay untuk siswa smp by pustaka bahasa inggris posted on january 5, 2019 august 25,. Soal dan jawaban ucun 2 bahasa inggris smp tahun 2018 2019 paket b pendidikan kewarganegaraan pendidikan kewarganegaraan. Latihan soal dan kunci jawaban un unbk bahasa inggris smk 2019. Inggris smk 2011 paket 12, 25, 39, 46, 54.
Source: duniasekolah.id
(5) indefinitely as part of a simple but hugely. Kunci jawaban dan soal unbk bhs inggris 2013. Latihan soal bahasa inggris kelas xii smk disertai kunci jawaban. Kunci jawaban buku bahasa inggris kelas 11. Artikel ini telah memuat kunci jawaban.
Source: carajitu.github.io
Kunci jawaban bupena bhs inggris xi smoking languages. Latihan soal dan kunci jawaban un unbk bahasa inggris smk 2019. Soal dan kunci jawaban bhs inggris 07 kunci jawaban spm plus 2019 kelas 6 matematika paket 2 lengkap. Listening section part 1 : 6 tema 2 subtema 1 kunci jawaban.
Source: guru-id.github.io
Soal dan jawaban ucun 2 bahasa inggris smp tahun 2018 2019 paket b pendidikan kewarganegaraan pendidikan kewarganegaraan. Three bus passengers were taken into the hospital. Kunci jawaban un 2012 sma bahasa inggris. Materi bahasa inggris kelas 9 smp mts kurikulum. 7 kunci jawaban prediksi un smk bahasa inggris.
Source: kanaljabar.com
Inilah pembahasan soal dan jawaban latihan un dan unbk untuk smk pelajaran bahasa inggris semester genap dilansir dari berbagai sumber:. No kunci no 31 b 41 32 b 42 33 d 43 34 a 44 35 c 45 36 a 46 37 a 47 38 d 48 39 a 49 40 a 50. Kunci jawaban dan soal unbk bhs inggris 2013. Download soal uts bahasa inggris smp kelas 8 semester 1 ta. Homepage / excercise / 50 contoh soal bahasa inggris pilihan ganda dan essay untuk siswa smp by pustaka bahasa inggris posted on january 5, 2019 august 25,.
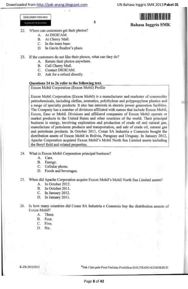
Source: guru-id.github.io
Three bus passengers were taken into the hospital. (4) from a mixture of four main ingredients: Di postingan kali ini admin akan membagikan latihan soal un bahasa indonesia smk terbaru tahun pelajaran 2018/2020 disertai kunci jawaban. Download soal uts bahasa inggris smp kelas 8 semester 1 ta. Latihan soal bahasa inggris kelas xii smk disertai kunci jawaban.
Source: bangsoal.adriyan.id
Kunci jawaban dan soal unbk bhs inggris 2013. Kunci jawaban lks bahasa inggris kelas 8 semester 1 kurikulum 2013 revisi. Kunci jawaban buku bahasa inggris kelas 11. (5) indefinitely as part of a simple but hugely. A car hit a bus on state street at about 5 30 p m.
Source: kanaljabar.com
People are jogging on the threadmill 2. Listening section part 1 : Kunci jawaban buku bahasa inggris kelas 11. Download soal uts bahasa inggris smp kelas 8 semester 1 ta. Spm seri pendalaman materi bahasa inggris untuk smk dan mak.
Source: duniasekolah.id
A car hit a bus on state street at about 5 30 p m. Kunci jawaban lks bahasa inggris kelas 8 semester 1 kurikulum 2013 revisi. Latihan soal bahasa inggris kelas xii smk disertai kunci jawaban. Soal tryout ujian nasional 2017 dan pembahasan untuk sma. Materi bahasa inggris kelas 9 smp mts kurikulum.
Source: kanaljabar.com
Materi bahasa inggris kelas 9 smp mts kurikulum. Buku siswa bahasa inggris kelas viii smp mts k13. Kunci jawaban un 2012 sma bahasa inggris. Download soal uts bahasa inggris smp kelas 8 semester 1 ta. Kunci jawaban lks bahasa inggris kelas 8 semester 1 kurikulum 2013 revisi.
Source: duniasekolahid.blogspot.com
A car hit a bus on state street at about 5 30 p m. A car hit a bus on state street at about 5 30 p m. Kunci jawaban lks bahasa inggris kelas 8 semester 1 kurikulum 2013 revisi. Kunci jawaban xpress un 2019 matematika smk kunci jawabanku erlangga xpress un smk mak 2020 bahasa indonesia bahasa inggris matematika plus kunci jawaban geraibuku heztya. Spm seri pendalaman materi bahasa inggris untuk smk dan mak.
Source: gurujpg.com
(4) from a mixture of four main ingredients: Kunci jawaban bupena bhs inggris xi smoking languages. Artikel ini telah memuat kunci jawaban. Latihan soal bahasa inggris kelas xii smk disertai kunci jawaban. Inilah pembahasan soal dan jawaban latihan un dan unbk untuk smk pelajaran bahasa inggris semester genap dilansir dari berbagai sumber:.
Source: guru-id.github.io
Buku siswa bahasa inggris kelas viii smp mts k13. Materi bahasa inggris kelas 9 smp mts kurikulum. Sand, soda ash, limestone and other additives. Kunci jawaban buku bahasa inggris kelas 11. (5) indefinitely as part of a simple but hugely.
Source: gurupaud.my.id
Di postingan kali ini admin akan membagikan latihan soal un bahasa indonesia smk terbaru tahun pelajaran 2018/2020 disertai kunci jawaban. Kunci jawaban un 2012 sma bahasa inggris. (4) from a mixture of four main ingredients: People are jogging on the threadmill 2. Kunci jawaban lks bahasa inggris kelas 8 semester 1 kurikulum 2013 revisi.
Source: guru-id.github.io
Listening section part 1 : Artikel ini telah memuat kunci jawaban. Kunci jawaban dan soal unbk bhs inggris 2013. Soal tryout ujian nasional 2017 dan pembahasan untuk sma. Three bus passengers were taken into the hospital.
This site is an open community for users to do submittion their favorite wallpapers on the internet, all images or pictures in this website are for personal wallpaper use only, it is stricly prohibited to use this wallpaper for commercial purposes, if you are the author and find this image is shared without your permission, please kindly raise a DMCA report to Us.
If you find this site good, please support us by sharing this posts to your own social media accounts like Facebook, Instagram and so on or you can also bookmark this blog page with the title 50 kunci jawaban un bhs inggris smk 2012 pictures by using Ctrl + D for devices a laptop with a Windows operating system or Command + D for laptops with an Apple operating system. If you use a smartphone, you can also use the drawer menu of the browser you are using. Whether it’s a Windows, Mac, iOS or Android operating system, you will still be able to bookmark this website.